
在模拟电路设计中,运算放大器的稳定性与性能参数权衡是工程师面临的核心挑战。本文将系统性地阐述运放稳定性的评估方法,并深入分析带宽与增益在实际应用中的相互制约关系。 为帮助客户应对元器件涨价和缺货风险,安华高中国代理推出了长期备货计划。客户可签订年度框架协议,锁定价格和货量,确保生产计划不受市场波动影响。
评估运放电路稳定性的核心,在于分析其负反馈环路的特性。
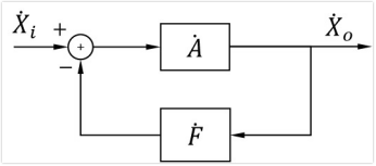
经典的负反馈系统框图是分析的基础。系统的稳定性取决于环路增益(A*F)与相移(φA+φF)。
如图所示,当环路增益降至0dB(即增益为1)时,若总相移尚未达到180度,系统便是稳定的,两者之间的差值即为相位裕度(φm)。业界通常要求相位裕度大于45度以确保足够的稳定性。
那么,如何具体求解运放电路的环路增益呢?方法是将运放的反相输入端“断开”,注入一个测试信号vi。
该信号经过运放内部开环增益和外部反馈网络后,在断点处返回变为vo。环路增益即为vo/vi。这里必须注意,分析时需将运放视为具有有限开环增益和特定频率响应的真实器件,而非理想模型,这是准确评估的前提。
转向另一个关键议题:运放的带宽与增益关系。在理想模型中,二者相互独立,但现实中的运放受制于半导体工艺和内部补偿,其增益带宽积(GBW)通常近似为常数。这意味着,增益与带宽成反比关系:闭环增益设置得越高,电路所能有效处理的信号带宽就越窄。
这一特性深刻影响着市场选型与电路设计。对于需要高精度直流或低频信号放大的应用(如传感器调理),工程师可能优先选择高增益、低失调的运放,对带宽要求相对宽松。而在视频处理、高速数据采集等场景中,则必须选用高带宽、高速率的运放,并接受其增益能力的限制。安华高代理商从供应链角度观察到,客户对高带宽、低噪声运放的需求在通信和测试测量领域持续增长。
因此,在实际电路设计中,工程师必须在带宽、增益、功耗、成本乃至市场供货情况之间进行综合权衡。理解稳定性原理与增益带宽积的约束,是避免电路振荡、失真,并最终实现优化设计的基础。这要求设计者不仅精通理论,还需结合具体的器件数据手册和实际测试进行验证。
我们作为安华高总代理的认证供应商,与安华高原厂保持最直接的技术和商务支持关系。我们的FAE团队全部通过安华高原厂的技术认证,能够为客户提供深度的方案设计支持。从概念到量产,我们全程陪伴。
我们的优势型号包括安华高的网络变压器、以太网芯片、音频编解码器、物联网WiFi芯片等。这些产品广泛应用于路由器、交换机、智能家居、工业物联网等领域。欢迎索取产品目录和参考设计。










